粒子物理核物理学科、粒子物理研究所

首页 > 中心新闻 > 正文
《Chinese Physics C》: 超子激发态的理论研究
时间:2026-04-29   阅读次数:

近日,郑州大学物理学院粒子物理研究所在超子激发态研究方面取得进展,相关成果以Role of Sigma(1660) in the Kp->pi0pi0Sigma0 reaction”为题发表在《Chinese Physics C》上。我院硕士研究生姬兴奕为论文第一作者,我院李德民教授、王恩教授和中国科学院近代物理研究所谢聚军研究员为该论文的指导老师,郑州大学为第一通讯单位。

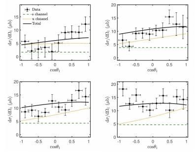
在强子物理领域,超子激发态一直是备受关注的重要课题。寻找和研究超子激发态对于完善重子质量谱,深刻理解量子色动力学 (QCD) 的非微扰性质具有重要的科学意义。CrystalBall 合作组K介子束流动量为514–750 MeV的范围内,以高统计量精确测量了K-p-> pi0 pi0 Sigma0三体反应的总截面与微分截面,为研究Sigma超子激发态提供了重要输入。我院强子物理团队所采用有效拉氏量方法对该反应过程进行了分析。研究过程引入了Sigma(1660)贡献以及核子极点项的贡献。本研究指出,Sigma(1660)共振态在反应过程中发挥了关键作用,未来更宽能区的实验数据对于提取Sigma(1660)的准确性质信息至关重要工作对于研究Sigma(1660)粒子的性质具有重要帮助,为实验进一步研究该粒子提供了重要的理论支撑。

1. K-p-> pi0 pi0 Sigma0反应的总截面。

2. K-p-> pi0 pi0 Sigma0反应的微分截面。


文章链接: https://doi.org/10.1088/1674-1137/ae551e


上一条:《Physical Review D》:低能重子激发态N(1535)与Λ(1670)的研究

下一条:《Physical Review D》:冪律暴涨模型仍可满足观测约束

关闭

Copyright © 2020 郑州大学粒子物理核物理学科 All Right Reserved.
地址:郑州市科学大道100号 邮编:450001