近日,我院在开味四夸克态性质研究方面取得新进展。相关成果以“Theoretical study of the open-flavored tetraquark Tcs(2900) in the process Bs0→K0D0π0”为题,发表于《European Physical Journal C》2025年第85卷第90期。我院博士研究生吕文韬为论文第一作者,王晓玉副教授与王恩教授为共同通讯作者,郑州大学物理学院为第一通讯单位。该研究获得了国家重点研发计划、国家自然科学基金及河南省自然科学基金的资助。
探索物质微观结构是当前粒子物理研究的前沿方向。自2003年Belle实验组发现X(3872)粒子以来,实验上已陆续探测到一系列新粒子。深入研究这些粒子的性质,对揭示其内部结构、理解量子色动力学的非微扰特性以及探索更深层次的物质结构具有重要科学意义。
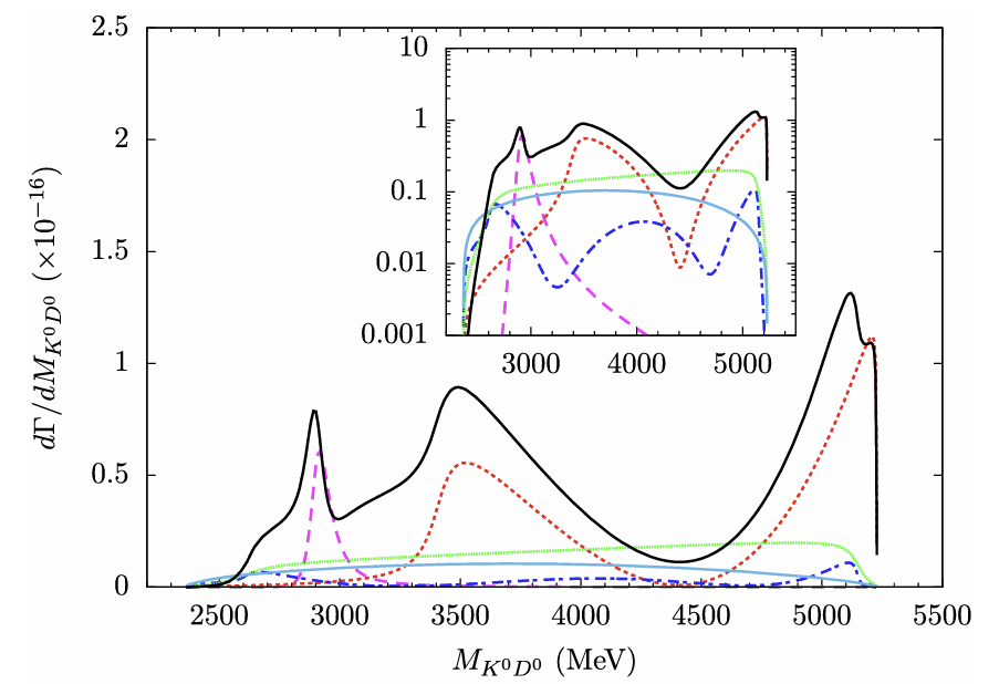
近期,LHCb合作组在B→πDDs衰变过程的πDs不变质量谱中发现了开味四夸克态Tcs(2900)。该粒子的理论解释多样,包括分子态、耦合道效应导致的虚态以及紧致四夸克态等,因此仍需更多理论与实验工作以厘清其本质。本研究通过综合考虑Tcs(2900)粒子及中间态K∗(892)、K0(1430)和K2(1430)的贡献,系统分析了Bs0→K0D0π0过程中K0D0与K0π0不变质量谱的信号特征及其对应的Dalitz分布。


图1. Bs0→K0D0π0衰变过程的不变质量谱及Dalitz分布
研究指出,开味四夸克态Tcs(2900)会在该过程的K0D0不变质量谱上产生显著信号,并进一步表明通过对不变质量进行合理截断可获得更清晰的Tcs(2900)信号。该工作为未来寻找开味四夸克态Tcs(2900)并探究其性质提供了有益的理论依据。
文章链接:https://link.springer.com/article/10.1140/epjc/s10052-025-13806-w