近日,郑州大学物理学院粒子物理研究所在类粲偶素研究领域取得重要进展,提出了一种探索类粲偶素Y(4710)性质的新方法。研究成果以《B->Jpsi eta' K reaction and the Y(4710) and K(1430) contributions》为题,发表于物理学期刊《Physical Review D》[112, 074005 (2025)]。该论文第一作者为博士研究生吕文韬,通讯作者为王恩教授、王兵副教授和李德民教授,郑州大学物理学院为第一完成单位和通讯单位。研究工作得到了国家重点研发计划、国家自然科学基金、河南省自然科学基金及郑州大学青年学生基础研究项目(博士研究生)等项目的资助。
物质微观结构的研究是当前粒子物理的前沿课题。自2003年Belle实验组发现X(3872)以来,实验上陆续观测到多个新型强子态,研究这些粒子的性质对于揭示其内部结构、理解量子色动力学的非微扰特性,以及探索更深层次的物质结构具有重大科学意义。
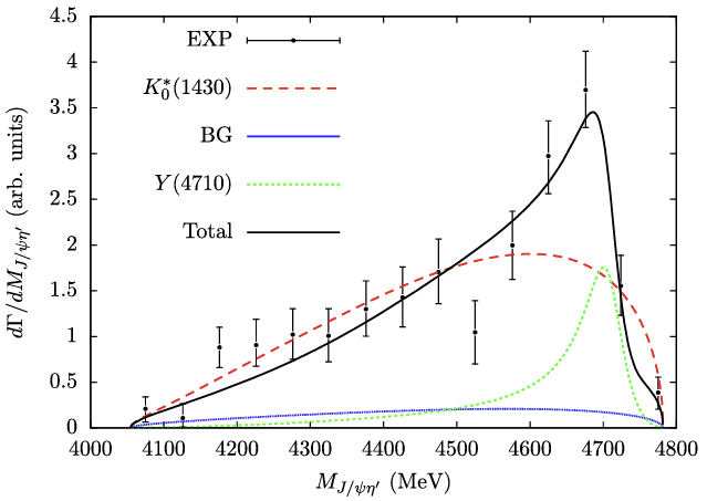
最近,BESIII合作组在正负电子对撞实验中观测到了新的类粲偶素Y(4710),但对于其性质理论上存在多种解释。我院粒子物理研究所提出利用底介子弱衰变过程B->Jpsi eta' K,系统研究了Y(4710)的奇特性质。本工作首次在该过程中同时考虑了S波矢量介子-矢量介子相互作用所产生的K(1430)共振态以及中间态Y(4710)的贡献,并分别计算了Jpsi K, Jpsi eta'和eta'K的不变质量谱及其对应的Dalitz分布。本研究指出,Y(4710)可能在该过程中发挥关键作用,并提出可通过测量该过程的衰变分支比,有效区分Y(4710)是传统粲偶素还是结构更为复杂的奇特强子态。这一方法为理解Y(4710)的内在结构提供了新的理论依据和实验鉴别手段。


图1. B->Jpsi eta' K衰变过程的不变质量谱
文章链接:https://doi.org/10.1103/tjmy-73k4