近日,我院在微波屏蔽下分子间相互作用研究方面取得新进展,相关成果以“Effective potential and scattering length of shielded polar molecules”为题,发表在国际知名物理类期刊《Physical ReviewA》上。论文第一作者为我院徐鹏研究员,通讯作者为徐鹏研究员和陈刚教授。
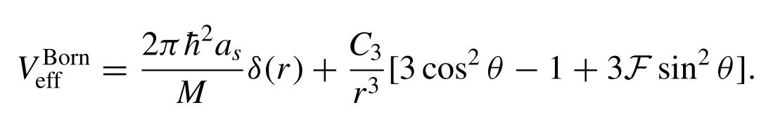
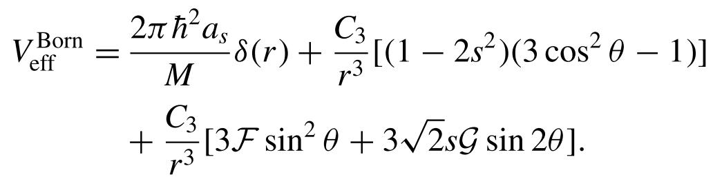
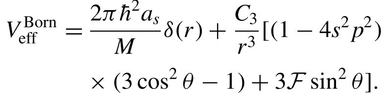
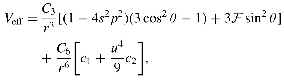
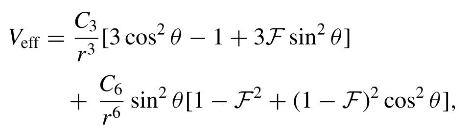
由于极性分子间偶极相互作用的存在,使得超冷分子玻色-爱因斯坦凝聚体难以实现。而微波屏蔽技术的提出,使得分子间相互作用在短程时有了巨大的排斥势,从而稳定了超冷分子玻色-爱因斯坦凝聚体系。本文将屏蔽技术进一步推广,研究了在不同屏蔽技术下超冷极性分子的有效势和散射长度:仅椭圆偏振场、椭圆与线性偏振场结合、椭圆偏振与静态场结合,如下图所示:

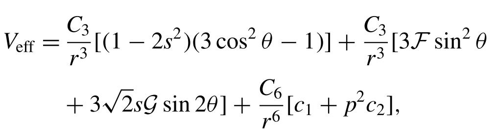
得到不同屏蔽技术下的有效势,并且进一步基于玻恩近似,将有效势简化为接触相互作用与长程偶极相互作用之和:

(仅椭圆偏振场)

(椭圆与线性偏振场结合)

(椭圆偏振与静态场结合)
结果表明,前两种方法只能部分抑制吸引相互作用,而第三种方法可完全抵消残余吸引力,对维持量子简并至关重要。
未来,我们将基于该有效势和赝势框架,研究超冷分子的多体物理性质,包括基态相图、猝火动力学和弗洛凯动力学等。
论文链接:https://journals.aps.org/pra/pdf/10.1103/dw1b-g5cs
该工作得到中国国家自然科学基金和河南省自然科学基金的支持。